2025년 공무원 봉급표, 2025 대통령, 9급 공무원 연봉
2025년 공무원 봉급표는 물가 상승률과 경제 안정성을 고려하여 전체적으로 평균 3% 인상되었습니다. 특히, 저연차 공무원을 위한 특별한 배려로 9급 1호봉은 기본 봉급 인상률 3%에 추가로 3.6%를 더해 총 6.6% 인상되었습니다. 이러한 변화는 공직 입문 단계에서 경제적 안정을 도모하기 위한 것으로, 7~9급 저연차 공무원에게도 동일한 혜택이 적용됩니다. 이번 변경은 공무원 보수 규정 일부 개정안(대통령령 제35181호, 2025. 1. 3.)에 따라 시행됩니다. 다음은 2025년 개정된 일반직 공무원 봉급표에 대한 자세한 내용입니다. (단위: 원)
정부는 이번 봉급 인상을 통해 공직자들에게 안정적인 근무 환경을 제공하고, 국가 경제와 공직자의 생활을 동시에 지원하려는 목적을 명확히 하고 있습니다. 이번 조치는 물가 상승 압박 속에서 공직 사회의 효율성을 높이고, 공공 서비스의 질을 유지하기 위한 중요한 변화로 평가받고 있습니다.
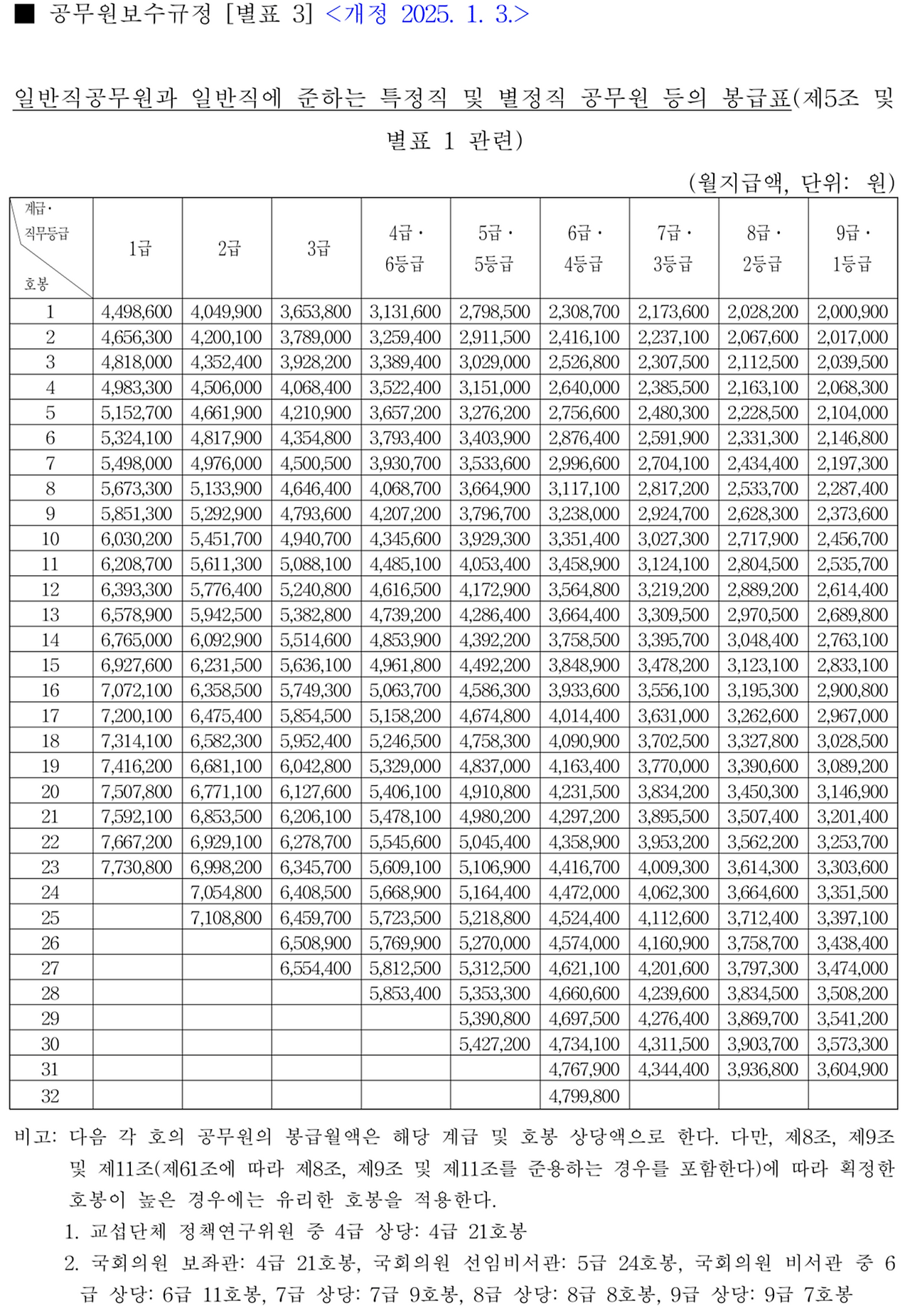
일반직 공무원 봉급표
2025 일반직 공무원의 봉급표는 계급과 호봉에 따라 차등적으로 책정되었습니다. 저연차 공무원의 경우 경제적 부담을 덜어주기 위해 추가 인상이 반영되었으며, 월별 기본 지급액은 다음과 같습니다.

- 2025 9급 1호봉: 2,000,882원 (작년 대비 약 12만 원 상승)
- 7급 1호봉: 2,564,710원
- 5급 1호봉: 3,412,550원
고위직으로 올라갈수록 급여는 증가하며, 근속 연수와 직급에 따라 명확한 차이가 나타납니다. 2025년 인상률은 전체 공무원 보수 체계에 일괄적으로 적용되었습니다. 특히, 7급 이상 중간관리직 공무원은 조직 관리 책임에 따른 보상도 함께 반영되었으며, 성과 기반의 추가 인센티브 제도가 확대될 예정입니다.
정부는 봉급 체계를 투명하고 공정하게 운영하며, 지속적인 피드백을 통해 공직자들의 만족도를 높이고자 노력하고 있습니다. 이번 개정안은 이러한 정부 정책의 일환으로 발표되었습니다.
9급 공무원 연봉과 변화
9급 1호봉 공무원의 보수는 2025년에 큰 변화가 있었습니다. 기본 봉급은 200만 882원으로 처음으로 200만 원을 넘게 되었으며, 수당을 포함한 총 9급 공무원 연봉은 약 3,222만 원입니다. 이는 지난해 대비 약 7.1% 증가한 수치로, 저연차 공무원의 처우를 개선하기 위한 정부의 의지가 반영된 결과입니다.
9급 공무원 연봉 구성
- 기본 봉급: 2,000,882원
- 수당 포함: 월평균 약 269만 원
- 연간 총액: 3,222만 원
9급 공무원의 경우 초임 연봉 수준에서 꾸준히 처우가 개선되고 있으며, 근속 연수가 쌓일수록 보수가 증가하는 구조를 유지하고 있습니다. 특히, 이번 인상안은 저연차 공무원들이 공직 초기에 직면하는 경제적 어려움을 완화하는 데 중점을 두고 있습니다.
정부는 이러한 변화를 통해 9급 공무원의 직업 만족도를 높이고, 더 많은 인재를 공직으로 유도하고자 합니다. 또한, 수당 체계와 근속 보상 체계를 지속적으로 개선하여 장기적인 공직자 만족도를 증대시킬 계획입니다.
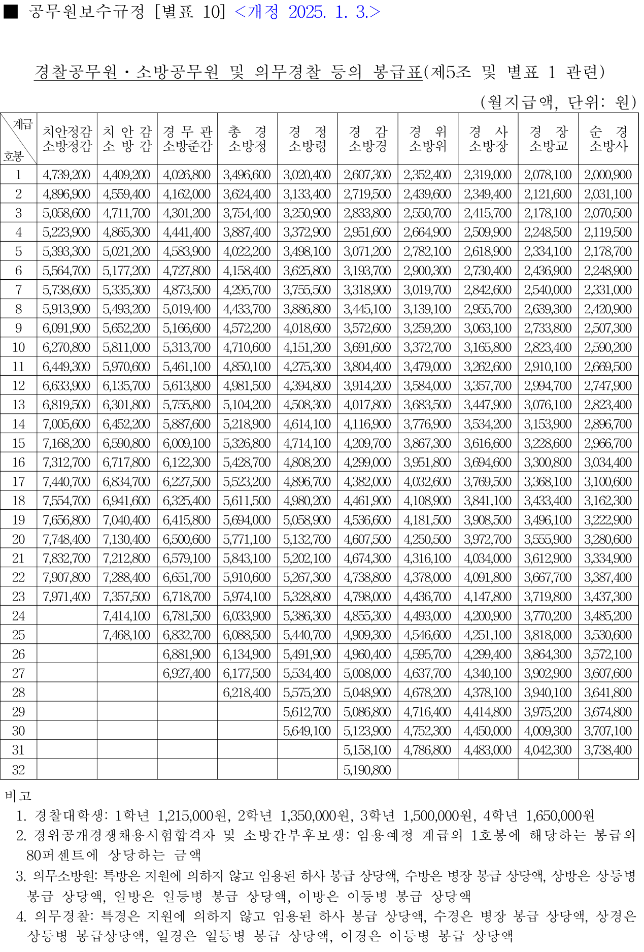
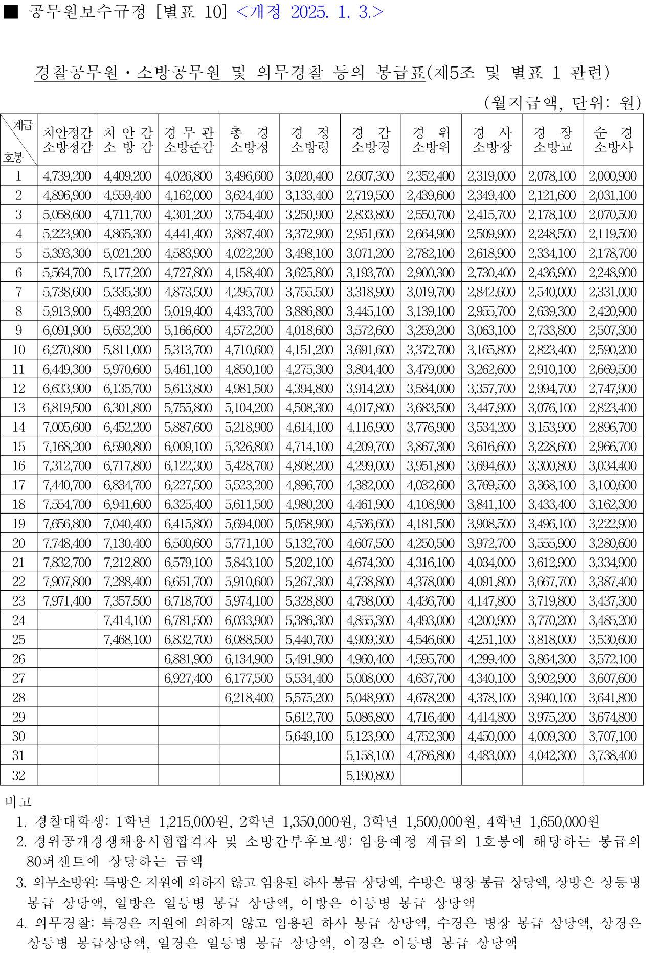
2025년 경찰공무원 및 소방공무원 봉급표
2025 경찰 및 소방공무원의 봉급표는 계급별로 명확히 책정되어 있습니다.

예를 들어, 치안정감의 1호봉 월급은 4,739,200원이며, 순경과 소방사의 1호봉 월급은 2,000,900원으로 시작합니다. 고위 계급으로 올라갈수록 봉급이 높아지며, 동일 계급 내에서도 근속 연수에 따라 차이가 발생합니다.
주요 계급별 월급 예시
- 치안감: 4,739,200원
- 경정: 3,821,400원
- 경감: 3,015,900원
- 순경: 2,000,900원
경찰 및 소방공무원의 경우 각종 위험수당과 근무 환경 개선 수당이 포함되어 있으며, 이는 다른 공무원 직군에 비해 특화된 혜택으로 작용합니다. 이 외에도 지역별 근무 수당이나 근속 수당이 추가로 지급되어, 근무 여건에 따른 보상이 명확히 이루어지고 있습니다.
또한, 경찰공무원과 소방공무원의 근무 환경 개선을 위한 추가적인 지원이 올해 예산안에 포함되었습니다. 이는 이들의 업무 특성상 직면하는 높은 위험과 긴급 상황 대처 능력을 보상하기 위한 것입니다.
2025년 고위직 공무원 및 대통령 연봉
윤석열 대통령의 올해 연봉은 지난해보다 3.0% 오른 2억 6,258만 원으로 결정되었습니다. 이는 전체 공무원 보수 인상률과 동일하며, 직무정지 상태에서도 대통령직 유지로 급여가 동일하게 지급됩니다.
대통령 연봉 세부사항
- 연봉: 2억 6,258만 원 (월 평균 세전 2,183만 원)
- 세후: 약 1,450만 원
한덕수 국무총리의 연봉도 2억 356만 원으로, 총리 월급 기준 세전 1,696만 원입니다. 고위직 공무원의 보수는 고정급적 연봉제로 운영되며, 매년 인상률이 반영됩니다. 이러한 연봉 체계는 국가의 핵심 정책 결정자들에게 공정하고 일관된 보상을 제공하기 위한 구조로 설계되었습니다. 장관 월급은 대장 월급과 동일합니다. 2025년 군인 봉급표를 보면 대장 월급은 9,293,500원입니다. 차관 월급은 중장 월급과 동일한 9,127,800원입니다.

2025의 대통령과 고위 공무원의 연봉은 국제적인 수준과 비교했을 때 적정한 수준으로 유지되고 있으며, 이를 통해 국가의 리더십에 걸맞은 보상을 지원하고 있습니다. 직무의 중요성과 책임을 감안할 때 이러한 보상 체계는 합리적인 것으로 평가받고 있습니다.
결론
2025년 공무원 봉급표는 물가 상승률과 공무원 처우 개선을 모두 고려한 결과물입니다. 대통령 연봉에서부터 9급 공무원 초임까지 모든 계층에서 인상률이 적용되었으며, 특히 저연차 공무원에게 집중된 추가 인상이 돋보입니다. 이는 공무원의 경제적 안정성과 직무 효율성을 동시에 높이는 데 기여할 것입니다.
추가적으로, 정부는 공무원의 근무 환경 개선과 보수 체계의 지속적인 업그레이드를 약속하며, 공직자와 국민 간의 신뢰를 강화하고자 합니다. 공무원 봉급 체계는 단순한 보수 책정 이상의 의미를 가지며, 이는 공공 서비스의 질과 국가의 경쟁력을 결정짓는 중요한 요소로 작용합니다.
'사회 경제' 카테고리의 다른 글
| 의성 산불 혐의 50대 입건 (0) | 2025.03.30 |
|---|---|
| 금은방에서 절대 물어보면 안 되는 질문! 올바른 금 구매 방법 (0) | 2025.03.06 |
| 군인 월급 2024 봉급표 (0) | 2024.12.09 |
| 209시간 계산법 소정근로시간 (0) | 2024.12.08 |
| 삼성전자 임원인사 2025 정기 인사 권오겸 서정아 이귀호 부사장 하지훈 이지연 석지원 상무 승진 명단 (0) | 2024.11.29 |