공무원 봉급표2026(2025년 대비 3.5% 인상 반영) 총정리
‘공무원 봉급표 2026’은 매년 연초가 되면 가장 많이 검색되는 생활형 정책 정보 중 하나입니다. 이유는 단순합니다. 공무원 보수는 기본급(봉급)을 중심으로 각종 수당·가산금·급여성 급부가 붙는 구조라서, 봉급표의 변화가 곧 실수령액과 직결되기 때문입니다.

특히 2026년 공무원 봉급표는 참고자료 기준으로 2025년에 비해 3.5% 공무원 보수 인상이 반영된 것으로 안내되고 있어, 신규 임용자부터 승진·호봉승급 대상자까지 폭넓게 영향을 받습니다.

이 글에서는 “표를 그대로 붙여넣기”보다, 실제로 사람들이 궁금해하는 포인트(누가 어떤 표를 보는지, 호봉은 어떻게 읽는지, 기본급 외에 무엇이 붙는지, 월급이 왜 체감이 다른지)를 중심으로 실무적으로 이해하기 쉽게 정리해 드리겠습니다.
공무원 봉급표 2026을 이해하는 핵심 구조(봉급표는 ‘기본급’만 담는다)
공무원 봉급표 2026을 볼 때 가장 먼저 잡아야 하는 관점은 “봉급표=월급 전체”가 아니라는 점입니다.


봉급표는 말 그대로 봉급(기본급)을 정리한 표이며, 공무원 보수 체계는 대체로 다음처럼 쌓입니다. 공무원 봉급표 2026을 검색하는 분들이 가장 많이 착각하는 부분이 바로 여기입니다.
먼저 기본급인 봉급이 있고, 그 위에 정근수당·명절휴가비·성과상여금·초과근무수당 같은 항목이 얹히는 구조입니다. 같은 직급·호봉이라도 근무기관, 직렬, 직무 난이도, 초과근무 여부, 가족수당 여부에 따라 월 실수령이 달라질 수 있습니다.



- 2026년 공무원 보수 구성(실무 관점)
- 봉급(기본급): 봉급표에 기재되는 금액
- 정액급식비: 매월 고정성으로 붙는 경우가 많음
- 직급보조비: 직급별로 정해지는 성격
- 정근수당: 근속에 따라 지급(통상 반기 단위)
- 명절휴가비: 설·추석 등 지급
- 성과상여금: 성과평가 결과에 따라 차등
- 초과근무수당(시간외·야간·휴일): 근무실적 기반
- 가족수당: 부양가족 요건 충족 시
- 특수지근무수당·위험근무수당·업무대행수당 등: 직무·근무지별

이렇게 보면 봉급표는 “월급의 뼈대”이고, 나머지는 “살과 근육”입니다. 그래서 봉급표 2026이 3.5% 올랐다고 해도, 어떤 분은 체감이 크고 어떤 분은 상대적으로 작게 느낄 수 있습니다. 기본급이 오르면 기본급을 기준으로 산정되는 항목이 연동되어 오르는 경우도 많지만, 모든 항목이 1:1로 동일하게 오르는 것은 아니기 때문입니다.
2026년 공무원 봉급 인상률 3.5%의 의미(체감이 달라지는 이유)
참고자료에서 언급된 “2025년 대비 3.5% 인상”은 단순한 숫자처럼 보이지만, 실제 현장에서는 여러 층위로 해석됩니다. 예를 들어 저연차(낮은 호봉)의 경우 기본급 자체가 낮기 때문에 인상액이 절대금액 기준으로는 작아 보일 수 있습니다. 반대로 고연차·고직급은 기본급이 크기 때문에 인상액이 더 크게 체감됩니다.
또한 인상률은 봉급표의 각 칸(직급·호봉)에 일괄 반영되는 방식으로 보이지만, 실제로는 예산 편성, 수당 기준, 각종 지급률 조정과 결합되면서 결과가 달라집니다. “왜 내 월급은 3.5%가 아닌 것 같지?”라는 질문이 매년 반복되는 이유도 이 구조 때문입니다.
- 3.5% 인상이 체감으로 달라지는 대표 변수
- 초과근무를 많이 하는 직무인지 여부
- 성과급 대상 및 등급
- 가족수당 수급 여부
- 승진·호봉승급 타이밍(연초/연중)
- 지방근무·특수지 근무 여부
- 위험·특수업무 가산 여부(경찰·소방·공안 등)
즉, 봉급표 2026 인상은 “기본급의 상향”이고, 실수령은 “기본급+수당의 조합”으로 결정됩니다. 따라서 봉급표를 확인한 뒤에는 반드시 본인 직군에서 붙는 대표 수당까지 함께 체크해야 합니다.

2026년 공무원 봉급표 종류 한눈에 보기(내가 어떤 표를 봐야 하나)
공무원 봉급표는 하나로 통합된 표가 아니라, 직군·신분·직무 성격에 따라 여러 표로 나뉩니다. 이 분류를 모르면 엉뚱한 표를 보고 “왜 금액이 다르지?”라고 혼란이 생깁니다. 특히 일반직 공무원 봉급표 2026만 있는 것이 아니라, 교원·경찰·소방·군인·연구직·지도직 등 별도 표가 존재합니다.
- 2026년 봉급표 주요 구분(대표 직군)
- 일반직 공무원(및 일반직에 준하는 특정직·별정직 등)
- 전문경력관
- 공안업무 종사 공무원(공안직 성격)
- 경찰공무원·소방공무원(및 의무경찰 등 포함되는 표)
- 유치원·초중고 교원
- 국립대학 교원
- 군인
- 연구직 공무원 및 전문관(기관 특성 반영)
- 지도직 공무원
- 헌법연구관·헌법연구관보
이 분류는 단순히 “직업명이 다르다” 수준이 아니라, 보수 체계 자체가 다르게 설계된 경우도 있습니다. 예를 들어 교원은 호봉 중심 구조가 강하고, 경찰·소방은 위험·교대·현장업무 특성에 맞는 수당 구조가 결합되는 경우가 많습니다. 군인은 계급 체계에 맞춰 별도의 봉급표로 운영됩니다.
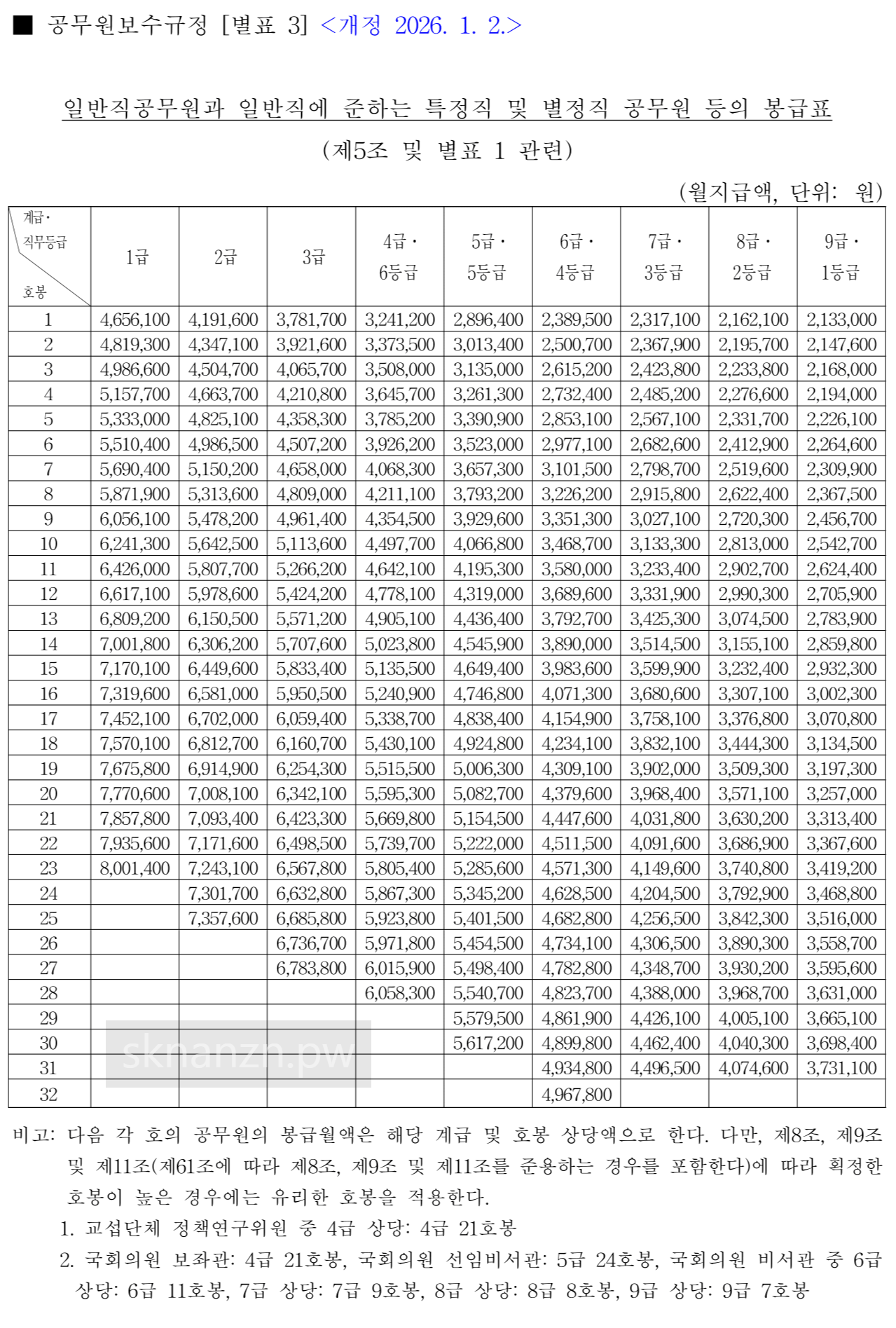
일반직 공무원 봉급표 2026(9급~1급) 읽는 법

일반직 공무원 봉급표는 가장 많은 사람이 찾는 표입니다. 다만 표 자체는 “직급”과 “호봉”의 교차표로 구성되며, 초보자에게는 이 구조가 익숙하지 않습니다. 기본 원리는 간단합니다. 직급이 높을수록, 호봉이 높을수록 봉급이 올라갑니다. 하지만 승진이 항상 호봉과 동시에 일어나는 것은 아니고, 호봉승급은 근속과 평가, 제도에 따라 매년 발생하는 방식이라 개인별로 경로가 달라집니다.
실무적으로는 “내가 현재 몇 급 몇 호봉인지”를 먼저 확인한 다음, 봉급표에서 해당 칸을 찾아 봉급을 확인합니다. 그리고 승급 예정이라면 다음 호봉 금액을, 승진 예정이라면 승진급의 동일 또는 조정된 호봉 칸을 확인하는 방식으로 접근합니다.
- 일반직 봉급표를 읽는 순서(실무형)
-
- 현재 직급 확인(예: 9급, 7급, 6급 등)
-
- 현재 호봉 확인(예: 1호봉, 5호봉 등)
-
- 봉급표에서 해당 칸의 봉급 확인
-
- 다음 연도/다음 승급 시나리오 확인
- 호봉승급: 동일 직급에서 +1호봉
- 승진: 상위 직급으로 이동(호봉 조정 가능)
-
- 봉급표에서 자주 나오는 용어 정리
- 직급: 9급~1급 등 공무원 계층 구조
- 호봉: 근속·경력 반영 단계(숫자가 클수록 기본급 상승)
- 봉급: 매월 지급되는 기본급(수당 제외)
일반직 공무원은 직무에 따라 “직렬”이 다르지만, 봉급표는 통상 직급·호봉 기준으로 읽습니다. 다만 일부 직렬은 수당이나 근무형태가 달라 실수령이 크게 차이 날 수 있어, 봉급표 확인 후 수당까지 함께 보는 것이 정확합니다.
전문경력관 봉급표 2026(일반직과 다른 이유)
전문경력관은 일반적인 승진 트랙과 다르게, 특정 분야 전문성을 기반으로 운용되는 경우가 많습니다. 그래서 “몇 급 몇 호봉” 체계와 동일하게 보이더라도, 실제 운영은 기관별 직무 설계와 보직 체계에 따라 차이가 생길 수 있습니다. 전문경력관 봉급표 2026을 확인할 때는 본인의 구분(가·나·다 등), 임용 형태, 경력 인정 범위를 함께 확인하는 것이 중요합니다.

전문경력관은 특히 “경력 산정”이 봉급의 출발점에 영향을 주는 경우가 많아, 신규임용 시점에서 호봉이 어떻게 책정되는지에 따라 연봉 체감이 크게 달라집니다.
- 전문경력관 봉급 확인 체크포인트
- 임용 구분(기관 공고의 직무 등급)
- 경력 인정 범위(유사 경력 인정 여부)
- 최초 호봉 산정 기준
- 성과급·수당 적용 방식(기관별 운영)
공안업무 종사 공무원 봉급표 2026(업무 특성 반영)
공안업무 종사 공무원 봉급표는 업무 특성상 일반직과는 다른 체계를 따르는 경우가 있습니다. 공안 분야는 직무 특성상 교대·비상대기·야간근무 등과 연결되는 경우가 많고, 이에 따라 수당 체계도 함께 고려해야 실수령을 가늠할 수 있습니다.

봉급표 자체는 기본급만을 보여주기 때문에, 공안업무 종사자의 경우 “기본급+시간외/야간/휴일+특수업무 성격 수당”의 조합이 핵심입니다. 따라서 봉급표 2026을 확인할 때도 단순 비교가 아니라, 근무 형태까지 같이 봐야 정확한 비교가 가능합니다.
- 공안업무 직군이 봉급표만 보면 안 되는 이유
- 야간·휴일 근무 비중이 높아 수당 영향이 큼
- 비상근무·대기 근무가 많아 실근무시간 차이가 큼
- 현장 업무 강도에 따라 체감 실수령이 크게 달라짐
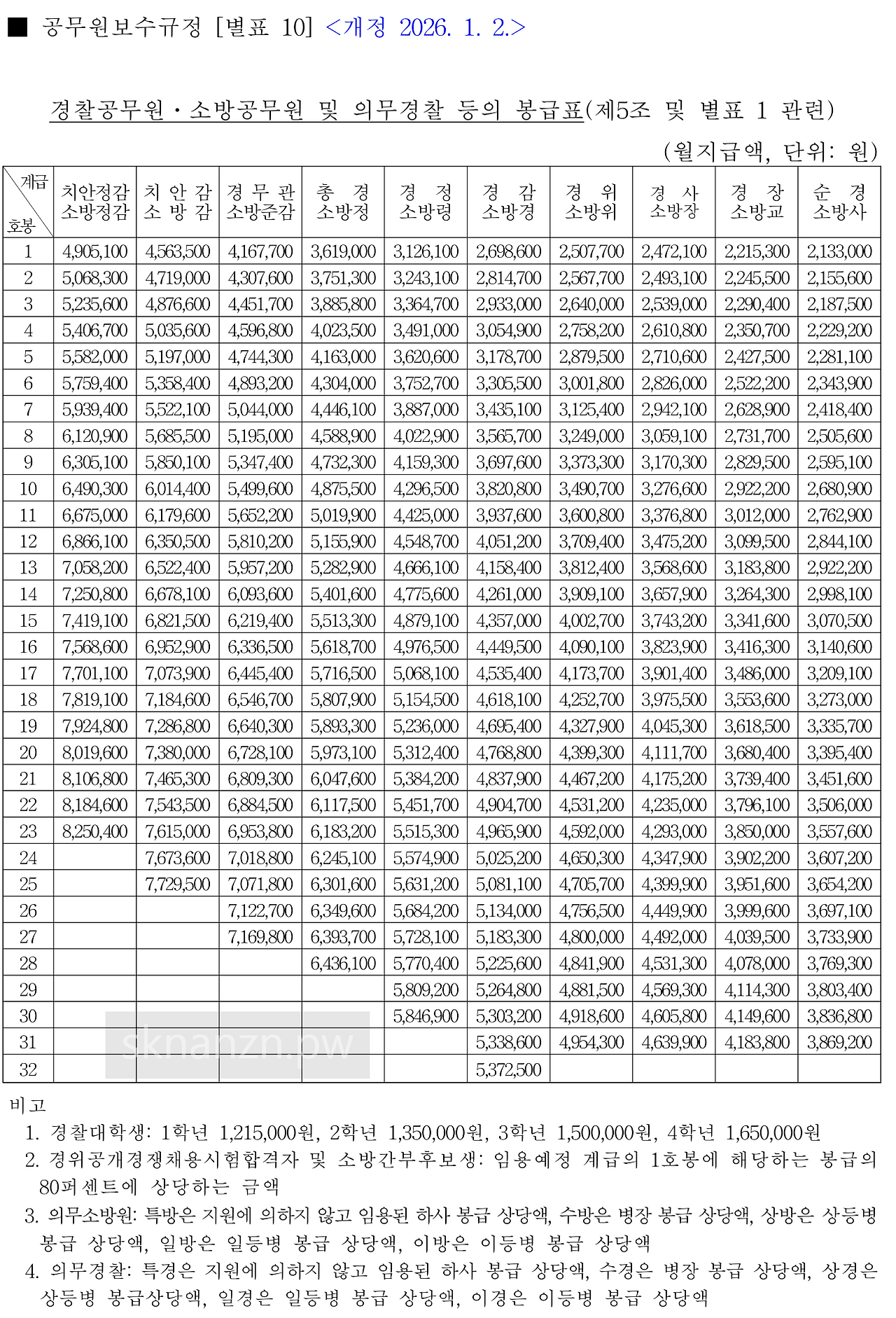
경찰공무원·소방공무원 봉급표 2026(현장직 체감 포인트)
경찰공무원과 소방공무원은 봉급표가 별도로 운영되는 대표 직군입니다. 이 직군은 현장성과 교대근무가 결합되는 경우가 많아, 봉급표 자체보다 “수당의 조합”이 월급을 크게 좌우합니다. 특히 시간외·야간·휴일근무가 구조적으로 발생하는 조직이기 때문에, 같은 계급·호봉이라도 부서와 근무형태에 따라 실수령이 달라지는 폭이 큰 편입니다.

또한 경찰·소방은 승진 체계가 일반직과 다르게 체감될 수 있으며, 계급에 따른 책임 범위 변화도 커서 “봉급 상승=업무 부담 상승”이라는 현실적 요소도 함께 고려하는 것이 좋습니다.
- 경찰·소방 봉급표 2026 확인 후 함께 체크할 항목
- 교대근무 여부(주간/야간/비번 구조)
- 초과근무 누적 시간(월별 편차)
- 위험·특수업무 관련 수당 적용 여부
- 현장출동 빈도에 따른 체감 강도
- 승진 시 계급별 급여 변화폭
교원 봉급표 2026(유치원·초중고) 호봉제 이해
유치원·초등학교·중학교·고등학교 교원 봉급표는 일반직과 비교해 “호봉제”의 성격이 더 강하게 체감됩니다. 교원은 교육경력과 자격, 임용 형태에 따라 호봉 산정이 달라질 수 있으며, 동일 연차라도 개인별 호봉 출발점이 다르게 책정되는 사례가 있습니다.

또한 교원의 급여는 봉급 외에도 담임·보직·초과근무(학교별 운영) 등의 요소가 결합되며, 교육공무원의 성과급(성과상여금) 체계가 적용되기도 합니다. 따라서 교원 봉급표 2026을 확인할 때는 “호봉이 왜 이렇게 책정됐는지”를 이해하는 것이 핵심입니다.
- 교원 봉급표 2026 체크리스트
- 현재 호봉(교육경력 반영 여부)
- 담임·보직 여부(학교 운영에 따라 차이)
- 성과상여금 대상 여부
- 방학 기간 급여 구조(기본급 중심)
국립대학 교원 봉급표 2026(대학 교원 체계)
국립대학 교원 봉급표는 초중등 교원과는 다른 체계로 운영됩니다. 대학 교원은 직위와 경력, 보직, 연구·강의·행정 역할이 결합되며, 봉급표는 기본급 기준을 제공하는 역할을 합니다. 다만 대학 교원은 연구활동, 산학협력, 과제 수행 등으로 인해 기관 내 지급 구조가 복합적으로 구성되는 경우가 있어, 단순 봉급표 비교만으로 체감 연봉을 판단하기는 어렵습니다.

- 국립대 교원 봉급표 확인 포인트
- 직위별 기준 확인(교수·부교수·조교수 등)
- 경력 반영 방식(연구 경력 포함 여부)
- 보직수당·연구 관련 지급 구조(기관 운영)
군인 봉급표 2026(계급 중심으로 보는 방법)
군인의 봉급표는 공무원 봉급표 중에서도 가장 “계급 중심”으로 이해하는 것이 자연스럽습니다. 병·부사관·장교의 계급 체계가 명확하고, 계급에 따른 책임과 직무가 급격히 달라지기 때문입니다. 군인의 봉급표 2026을 확인할 때는 “현재 계급”과 “복무 기간/호봉” 개념을 함께 보되, 군 특성상 지급 구조가 다양한 수당과 결합될 수 있음을 염두에 두는 것이 좋습니다.

또한 군인은 부대·직책·근무 형태에 따라 수당 비중이 커질 수 있으므로, 봉급표는 기본 틀로 보고 실제 체감은 별도 항목까지 포함해 판단하는 것이 정확합니다.
- 군인 봉급표 2026과 함께 보는 항목
- 계급별 기본급(봉급)
- 직책·근무지 특성 수당
- 야전·함정·비행 등 특수근무 여부
- 당직·비상근무 형태
연구직·지도직 봉급표 2026(직무 전문성 반영)
연구직 공무원과 지도직 공무원은 업무 성격 자체가 전문성과 현장성을 동시에 요구하는 경우가 많습니다. 연구직은 정책·기술·분석·평가 등 전문역량이 핵심이고, 지도직은 현장 지도·기술지원·교육훈련 등과 결합되는 사례가 있습니다. 이런 직군은 봉급표를 확인할 때도 단순히 “급수”만 보는 것이 아니라, 임용 체계와 직무 범위를 함께 이해해야 보수 구조를 제대로 파악할 수 있습니다.


- 연구직·지도직 봉급표 2026 확인 체크포인트
- 직군별 봉급표가 별도인지 여부
- 경력 인정 범위(전문경력 반영)
- 기관별 성과급·평가 구조
- 직무 특성상 발생하는 수당 유무
헌법연구관 봉급표 2026(특수 직군 이해)
헌법연구관·헌법연구관보는 일반적인 행정직과는 다르게, 특정 기관의 전문 직무를 수행하는 형태입니다. 이런 직군은 봉급표 자체가 별도로 존재하며, 직무 난이도와 전문성을 반영해 운영되는 경우가 많습니다. 따라서 봉급표 2026을 확인할 때는 “일반직과 동일선상 비교”보다, 해당 직군의 제도적 위치와 역할을 고려해 이해하는 것이 현실적입니다.

- 헌법연구관 봉급표 2026 이해 포인트
- 직군 자체가 별도 표로 운영됨
- 전문직 성격이 강함
- 기관 운영 및 직무 범위에 따라 체감이 달라질 수 있음
2026년 공무원 월급 실수령액이 봉급표와 다른 이유(세금·공제·기여금)
봉급표를 확인하고 나면 많은 분들이 “그럼 이 금액이 통장에 그대로 들어오나요?”라고 묻습니다. 결론부터 말하면 그렇지 않습니다. 공무원 급여는 각종 공제 항목이 존재하고, 개인별로 차이가 생깁니다. 따라서 봉급표 2026은 “세전 기준의 기본급”으로 이해하는 것이 안전합니다.
공제 항목에는 연금 기여금, 건강보험, 장기요양보험, 소득세, 지방소득세 등이 포함될 수 있고, 개인의 가족 구성이나 부양 여부, 비과세 적용 항목 등에 따라 실수령이 달라집니다.
- 공무원 급여에서 자주 발생하는 공제 항목(일반적 범주)
- 공무원연금 기여금(해당 시)
- 건강보험료
- 장기요양보험료
- 소득세
- 지방소득세
- 기타(조합비·기타 선택 공제 등)
이 공제 구조 때문에 “봉급표가 올랐는데 체감이 별로 없다”는 말이 나올 수 있습니다. 하지만 기본급 상승은 장기적으로 각종 산정 기준의 바닥을 끌어올리는 효과가 있기 때문에, 단기 체감이 작더라도 의미가 없다고 보기는 어렵습니다.



2026년 공무원 봉급표 확인 후, 개인이 바로 할 수 있는 점검 루틴
봉급표 2026을 확인하는 목적은 결국 “내 급여 전망을 예측하고 생활 계획을 세우기 위해서”입니다. 그래서 표만 보고 끝내기보다는, 아래처럼 점검 루틴을 하나 만들어두면 매년 보수 인상기마다 빠르게 대응할 수 있습니다.
- 봉급표 확인 후 점검 루틴(실무형)
-
- 내 직군 봉급표 종류 확정(일반직/교원/경찰·소방/군인 등)
-
- 현재 직급·호봉 기준 기본급 확인
-
- 올해 호봉승급 시점 확인(예정월 기준)
-
- 정근수당·명절휴가비 등 큰 이벤트성 지급 월 체크
-
- 초과근무 예상치(월 평균) 산정
-
- 공제액 평균(최근 3개월) 기준으로 실수령 추정
-
- 승진·전보 가능성 있는 경우 시나리오별 비교
-
이 루틴을 적용하면 “봉급표만 보고 막연히 기대하거나 실망하는 것”을 줄이고, 현실적인 계획 수립이 가능합니다.
결론


공무원 봉급표 2026은 참고자료 기준으로 2025년 대비 3.5% 보수 인상이 반영된 것으로 정리할 수 있으며, 이는 공무원 급여 체계에서 가장 중요한 축인 기본급(봉급)을 상향시키는 의미를 가집니다. 다만 봉급표는 어디까지나 “기본급의 지도”이고, 실제 월급은 수당·성과급·초과근무·공제 항목까지 결합된 “최종 산출물”이라는 점을 반드시 함께 기억하셔야 합니다.

결국 봉급표 2026을 제대로 활용하는 방법은, 내 직군에 맞는 표를 정확히 선택하고, 직급·호봉을 기반으로 기본급을 확인한 뒤, 본인에게 적용되는 대표 수당과 공제 구조까지 포함해 실수령을 추정하는 것입니다. 이렇게 접근하면 단순 정보 검색을 넘어, 2026년 한 해의 재무 계획과 커리어 계획을 더 안정적으로 설계할 수 있습니다.
'사회 경제' 카테고리의 다른 글
| 1215회 로또 당첨 번호 | 당첨지역 (0) | 2026.03.14 |
|---|---|
| 신한은행 인터넷뱅킹 점검시간 (0) | 2026.03.05 |
| 실비보험 실손보험 차이, 세대별 차이까지 한 번에 정리(1세대-4세대) (0) | 2026.01.23 |
| 기업은행 영업시간 ATM 점검시간 (0) | 2026.01.22 |
| 건축물대장 무료열람 민원24시바로가기 (0) | 2026.01.21 |